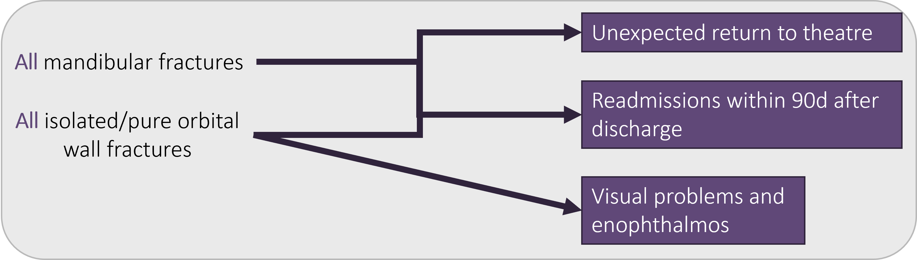
BAOMS Home QOMS_Trauma Trauma Audit Lead: Mr Geoff Chiu supported by the BAOMS Trauma SSIG Criteria: Patients treated for mandible fractures or isolated orbital wall fractures under OMFS care Data collection: Continuous and prospective Start of data collection: July 2021 Important documents: Trauma audits protocol Mandible Clinical Report Form / Questionnaire Orbit Clinical Report Form / Questionnaire Figure 1 - Trauma workstream - selected quality-of-care indicators Contact us: If you have any questions or thoughts you’d like to share with us, please contact Fabien Puglia, QOMS Project Manager Last updated: 03/2026 FOR PROFESSIONALS Consultant informationOxford DeclarationCareers in OMFSQOMSQOMS reportsNCIP / GIRFTNational Oral and Maxillofacial Surgery Workforce CensusAwards, Grants & FellowshipsBAOMS Awards & PrizesBAOMS GrantsApply BAOMS grant Travel/ClinicalApply BAOMS grant ResearchApply BAOMS grant mini event mini projectsEACMFS Scholarships and awardsReports to the Endowments CommitteeStudent BursariesEvents & CoursesBAOMS-Organised EventsBAOMS Second Degree WorkshopsResearchClinical TrialsFunding OpportunitiesFunding Opportunities available to MembersOMFS ResearchersMaxillofacial surgery Trainees Research CollaborativeClinical OutcomesNational AuditEducation & TrainingMaxFaxBitesRCSEd BAOMS webinar seriese-FaceDental Core TrainingOn-Line Teaching at ST and DCT levelSpecialty Training in OMFSe-Learning for DCTs & OMFS STs (free)Training & Supervision ResourcesOther OrganisationsMembership GroupsConsultants & Specialists' GroupAssociate FellowsFellows in Training (FiT)COVID-19 & trainee progressionAnnouncement: MRCS part B exam changesFiT conferenceOral and Maxillofacial Surgery Specialty Training Programme Goals of Specialist TrainingIntercollegiate Surgical Curriculum Programme (ISCP)Guidance Benchmarking (objectives) for Specialist traineesRevalidation at your ARCPGDC / GMC registrationSAC NewsletterOMFS Certification Guidelines and ChecklistsLeaveJunior Trainees' GroupFrequently Asked Questions - Second DegreesResource and published articles for JTGsEvents and previous conference presentationsJTG NewsletterMoney Saving Tips for Junior TraineesOnline Teaching at ST and DCT levelInternational OMFSUseful ResourcesNHS Commissioners / Information for GPsGDC & GMCPatient Safety EVENTS & COURSES Robotic TORS Cadaveric Dissection Course 20 - 21 May 2026 Course objectives: Become familiar with the function andoperation of the da Vinci Surgicalsystem Appreciate the ergonomics of the Da Vinci Surgical system robot... Read more BAOMS Annual Scientific Meeting 2026 24 - 26 Jun 2026 BAOMS Annual Scientific Meeting (ASM) Hosted by: Patrick Magennis 64th BAOMS President REGISTRATION IS NOW OPEN: BAOMS members get the best... Read more BACO International 2026 1 - 3 Jul 2026 The British Academic Conference in Otolaryngology (BACO) is ENT UK's historic flagship conference which brings together the core Ear, Nose and... Read more ANZAOMS26 Annual Scientific Meeting 6 - 8 Aug 2026 The ANZAOMS 2026 Annual Scientific Meeting will be held in the beautiful Otautahi/Christchurch, New Zealand. The 2026 ASM promises to deliver an engaging and... Read more BAOMS Annual Scientific Meeting 2027 23 - 25 Jun 2027 Join us for the BAOMS Annual Scientific Meeting (ASM) 2027 Hosted by: Bhavin Visavadia 65th BAOMS President The meeting will be focused on Team... Read more BAOMS Annual Scientific Meeting 2028 21 Jun 2028 00:00 - 23 Jun 2028 16:00 BAOMS Annual Scientific Meeting (ASM) Hosted by: Robert J Banks 66th BAOMS President Read more RESEARCH AND AUDIT BAOMS supports research and audit in many ways, from sharing information about existing trials, through co-ordinating national audits, to directly funding research. Find out more here. RESEARCH AND AUDIT EDUCATION AND TRAINING BAOMS wishes to support trainees and trainers in their important roles. Find our educational resources here. EDUCATION AND TRAINING CAREERS IN OMFS Interested in a career in Oral and Maxillofacial Surgery? Find more information here to help you with this journey. CAREERS IN OMFS NHS COMMISSIONERS INFORMATION FOR GPS Important Oral and Maxillofacial Presentations for the Primary Care Clinician NHS COMMISSIONERS INFORMATION FOR GPS BAOMS RECOMMENDS MAXFACTS Information on all aspects of oral and maxillofacial surgery for patients, carers, and professionals. BAOMS RECOMMENDS MAXFACTS USEFUL RESOURCES Browse and find useful resources here concerning professionals in OMFS. USEFUL RESOURCES Sponsors and partners